Cytokinin and Auxin Enhance Early Rhizome Development and Essential Oil Production in Curcuma aromatica Salisb.
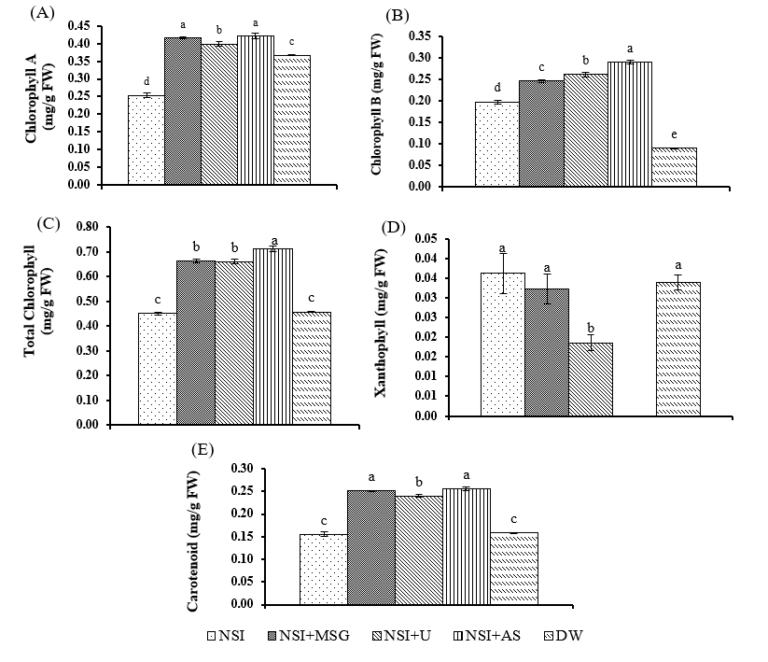
Tran T. T. Hien University of Sciences, Vietnam National University, Ho Chi Minh City, Vietnam Nguyen H. B. Vinh University of Sciences, Vietnam National University, Ho Chi Minh City, Vietnam DOI: https://doi.org/10.22299/apst.2026.268934 Keywords: Curcuma aromatica Salisb. cytokinin auxin vascular bundles essential oil yield growth Abstract Curcuma aromatica Salisb. is a monocotyledonous plant whose rhizomes contain essential oils […]
