
Eaknarin Ruangrak
Urban Agricultural Research Group, Faculty of Science and Technology, Prince of Songkla University, Pattani Campus, Pattani 94000, Thailand
Paweena Hassama
Urban Agricultural Research Group, Faculty of Science and Technology, Prince of Songkla University, Pattani Campus, Pattani 94000, Thailand
Nang Myint Phyu Sin Htwe
Urban Agricultural Research Group, Faculty of Science and Technology, Prince of Songkla University, Pattani Campus, Pattani 94000, Thailand
Keywords: Ammonium sulfate Chlorophyll Monosodium glutamate Nitrate Nitrite Urea
Abstract
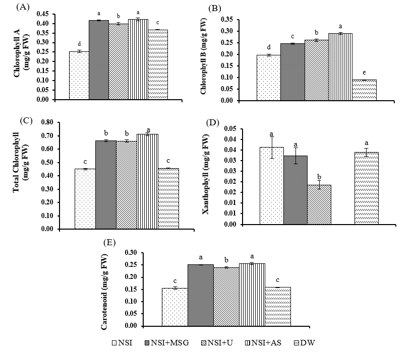
This study investigates the impact of various foliar nutrient solutions on the yield and quality of mung bean microgreens to identify the most effective formulation for enhancing growth and nutritional content. The experiment was carried out comparing four modified hydroponic foliar nutrient solutions (NSI): NSI, NSI+MSG (monosodium glutamate), NSI+U (urea) and NSI+AS (ammonium sulphate), alongside a distilled water (DW) control on plant growth and pigment, nitrogen, protein and amino acid composition. Results indicated that NSI treatment significantly improved fresh weight while NSI+MSG showed no significant from NSI and DW. Moreover, NSI+MSG and NSI+AS treatments yielded the highest chlorophyll A and B contents, enhancing nutritional value. Carotenoid contents increased notably with the NSI+AS, NSI+MSG, and NSI+U treatments. The study found significant variations in nitrate, nitrite, and ammonium content, with safe nitrate contents maintained across all treatments. Protein content was highest in the NSI and NSI+MSG treatments, highlighting their potential to enhance microgreen nutritional quality. Essential amino acids such as tyrosine and tryptophan were present across treatments, with phenylalanine detected only in NSI and NSI+MSG. Cysteine was not detected in NSI; only mung bean microgreens treated with NSI+MSG synthesized all four amino acids. In conclusion, NSI+MSG emerges as a promising foliar nutrient solution for optimizing both yield and quality of mung bean microgreens. These findings underscore the importance of tailored nutrient management in microgreen production, offering insights for sustainable agriculture and food security initiatives.
How to Cite
Ruangrak, E. ., Hassama, P. ., & Htwe , N. M. P. S. . (2026). Influence of hydroponic solution based foliar application on yield and quality of mung bean microgreens. Asia-Pacific Journal of Science and Technology, 31(02), APST–31. https://doi.org/10.22299/apst.2026.275527
References
Turner ER, Luo Y, Buchanan RL. Microgreen nutrition, food safety and shelf life: A review. J Food Sci. 2020;85:870–882.
Kowitcharoen L, Phornvillay S, Lekkham P, Pongprasert N, Srilaong V. Bioactive composition and nutritional profile of microgreens cultivated in Thailand. Appl Sci.2021;11:7981.
Ebert AW. Sprouts and microgreens-novel food sources for healthy diets. Plants. 2022;11:571.
Kaur N, Singh B, Kaur A, Yadav MP. Impact of growing conditions on proximate, mineral, phenolic composition, amino acid profile, and antioxidant properties of black gram, mung bean, and chickpea microgreens. J Food Process Preserv. 2022;46:e16655.
Gruda N. Does soilless culture have an influence on product quality of vegetables. J Appl Bot Food Qual. 2009;82: 141–147.
Sine H, Sudarma I, Lehar L. The influence of monosodium glutamate dosage on the yield of long beans (Vigna sinensis L.) Peleton variety. Trends Hortic. 2024;7: 5575.
Li T, Lalk GT, Arthur JD, Johnson MH, Bi G. Shoot production and mineral nutrients of five microgreens as affected by hydroponic substrate type and post-emergent fertilization. Horticulturae. 2021;7:129-132.
Nandhini U, Suganthi S. Supplementation of mineral nutrients through foliar spray-a review. Int J Curr Microbiol Appl Sci. 2017;6:2504–2513.
Bulgari R, Baldi A, Ferrante A, Lenzi A. Yield and quality of basil swiss chard and rocket microgreens grown in a hydroponic system. NZJ Crop Hortic Sci. 2017;45:119–129.
Weber CF. Nutrient content of cabbage and lettuce microgreens grown on vermicompost and hydroponic growing pads. J Hortic. 2016;3:1–5.
Valenzuela H. Optimizing the nitrogen use efficiency in vegetable crops. Nitrogen. 2024;5:106 – 143.
Muratore C, Espen L, Prinsi B. Nitrogen uptake in plants: The plasma membrane root transport systems from a physiological and proteomic perspective. Plants. 2021;10:681.
Hassama P, Sirinupong M, Ruangrak E. Comparing sources of nitrogen fertilizer on growth in sunflower microgreens. J Food Sci Agric Technol. 2022;6:52–58.
Bloom AJ, Sukrapanna SS, Warner RL. Root respiration associated with ammonium and nitrate absorption and assimilation by barley. Plant Physiol. 1992;99:1294–1301.
Nadarajan S, Sukumaran S. Chemistry and toxicology behind chemical fertilizers. In: Controlled release fertilizers for sustainable agriculture. Elsevier Academic Press. 2021:195–229.
Mohamad MA. The effects of monosodium glutamate as an alternative fertilizer towards the growth of zea mays/Ahmad Faris Seman Kamarulzaman and Mohamad Asyraf Mohamad. Gading J Sci Technol. 2019;2:1–7.
Nakhel CE, Pannico A, Graziani G. Nutrient supplementation configures the bioactive profile and production characteristics of three Brassica L. microgreens species grown in peat-based media. Agronomy. 2021.11:346.
Toscano S, Romano D, Patanè C. Effect of application of biostimulants on the biomass, nitrate, pigments, and antioxidants content in radish and turnip microgreens. Agronomy. 2023;13:145.
Trukhachev VI, Seregina II, Belopukhov SL. The effect of stressful ecological conditions on chlorophyll content in the leaves of spring wheat plants. IOP Conf Ser Earth Environ Sci. 2022;981:032093.
Hassama P, Sirinupong M, Ruangrak E. Comparing sources of nitrogen fertilizer on growth in sunflower Microgreens. J Food Sci Agric Technol. 2022;6:52–58.
Ciompi S, Gentili E, Guidi L. The effect of nitrogen deficiency on leaf gas exchange and chlorophyll fluorescence parameters in sunflower. Plant Sci. 1996;118:177–184.
Sirinupong M, Bourchookarn A, Myint N. Enhancing sunflower microgreen yield and quality through foliar application of various nutrient solutions. Agric Nat Resour. 2024;58:487–500.
Sirinupong M. Practical for soilless culture in Thailand. 7th edition. Fram-up Design, Bangkok. 2017.
Duma M, Alsina I, Zeipina S, Lepse L, Dubova L. Leaf vegetables as source of phytochemicals. In: Proceedings of the 9th Baltic Conference on Food Science and Technology “Food for Consumer Well‑Being. 2014.
Hachiya T, Okamoto Y. Simple spectroscopic determination of nitrate, nitrite, and ammonium in arabidopsis thaliana. Bio-Protoc. 2017;7:e2280.
Okoronkwo N, Kalu C, Nnorom I. Estimation of protein content and amino acid compositions in selected plant samples using UV-Vis spectrophotometeric method. Am J Food Sci Hea. 2017;3:41–46.
Palmitessa OD, Renna M, Crupi P, Lovece A, Corbo F, Santamaria P. Yield and quality characteristics of Brassica microgreens as affected by the NH4:NO3 molar ratio and strength of the nutrient solution. Foods. 2020;9(5):677.
World Health Organization. JECFA: Nitrate (Chemical 709). 90th ed. In: Food additives and contaminants JECFA database.
Clemente Plaza N, Reig García-Galbis M, Espinosa RM. Effects of the usage of L-Cysteine (L-Cys) on Human Health. Mol J Synth Chem Nat Prod Chem. 2018;23:575.
Wojdylo A, Nowicka P, Tkacz K. Sprouts vs. microgreens as novel functional foods: Variation of nutritional and phytochemical profiles and their in vitro bioactive properties. Molecules. 2020;25:4648.
Akram M, Daniyal M, Ali A. Role of phenylalanine and its metabolites in health and neurological disorders, synucleins – biochemistry and role in diseases. Intech Open. 2020;10:5772.
Wojdylo A, Nowicka P, Tkacz K. Sprouts vs. Microgreens as novel functional foods: Variation of nutritional and phytochemical profiles and their In Vitro bioactive properties. Molecules. 2020;25:4648.
Bahadoran Z, Mirmiran P, Jeddi S. Nitrate and nitrite content of vegetables, fruits, grains, legumes, dairy products, meats and processed meats. J Food Compos Anal. 2016;51:93–105.
Friedman M. Analysis, nutrition, and health benefits of tryptophan. Int J Tryptophan Res IJTR. 2018;11:1178646918802282.

Published: Mar 11, 2026
License
This work is licensed under a Creative Commons Attribution-NonCommercial-NoDerivatives 4.0 International License.
